Hallo,
folgendes Problem, wo ich nicht verstehe, was falsch ist:
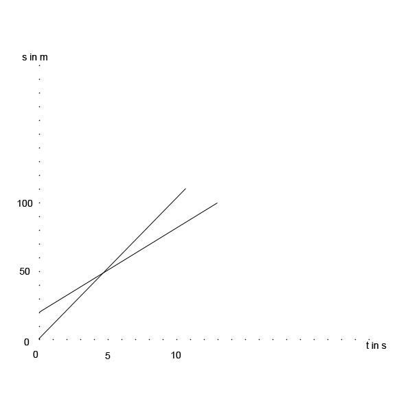
Also Person B läuft 100m in 9,58s. v = 100m/9,58s = 10,44m/s
Und Person S läuft 100m in 13s und hat 20m Vorsprung. v = 100m/13s = 7,69m/s
s_B(t) = 10,44m/s * t
s_S(t) = 7,69m/s * t + 20m
Schnittpunkt rechnerisch bestimmt durch Gleichsetzen bei: 7,27s
Wenn ich die Aufgabe zeichnerisch lösen will, kommt aber folgendes:

Also liegt laut Zeichnung der Schnittpunkt bei rund 4,8s. Das stimmt aber nicht mit der Rechnung überein. Wo liegt der Fehler?
Danke,
Grüße