hallo
was du falsch machst können wir nicht wissen, wenn du keine rechnung zeigst. ich rate mal ins blaue und vermute, dass du nicht nach farad und henry umgewandelt hast.
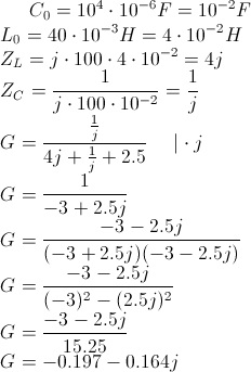
\(
C_0 = 10^4 \cdot 10^{-6}F = 10^{-2}F\\
L_0 = 40 \cdot 10^{-3}H = 4\cdot 10^{-2}H \\
Z_L = j\cdot 100 \cdot 4\cdot 10^{-2} = 4j\\
Z_C = \frac {1} {j \cdot 100 \cdot 10^{-2} } = \frac{1}{j}
\\
G = \frac{\frac{1}{j}}{4j + \frac{1}{j} + 2.5}\ \ \ \ | \cdot j\\
G = \frac{1}{-3 + 2.5j}\\
G = \frac{-3 - 2.5j}{(-3 + 2.5j)(-3 - 2.5j)}\\
G = \frac{-3 - 2.5j}{(-3)^2 - (2.5j)^2}\\
G = \frac{-3 - 2.5j}{15.25}\\
G = -0.197 - 0.164j
\)
der tex konverter kriegt wohl latex nicht so richtig gebacken, ich hänge mal ein foto an
